マサチューセッツ州 
Individualized Educatinal Program
ワークシート

Administrative Data Sheet
Attenndance Sheet
Individualized Education Program
Present Level of Educational Performance A:General curriculum
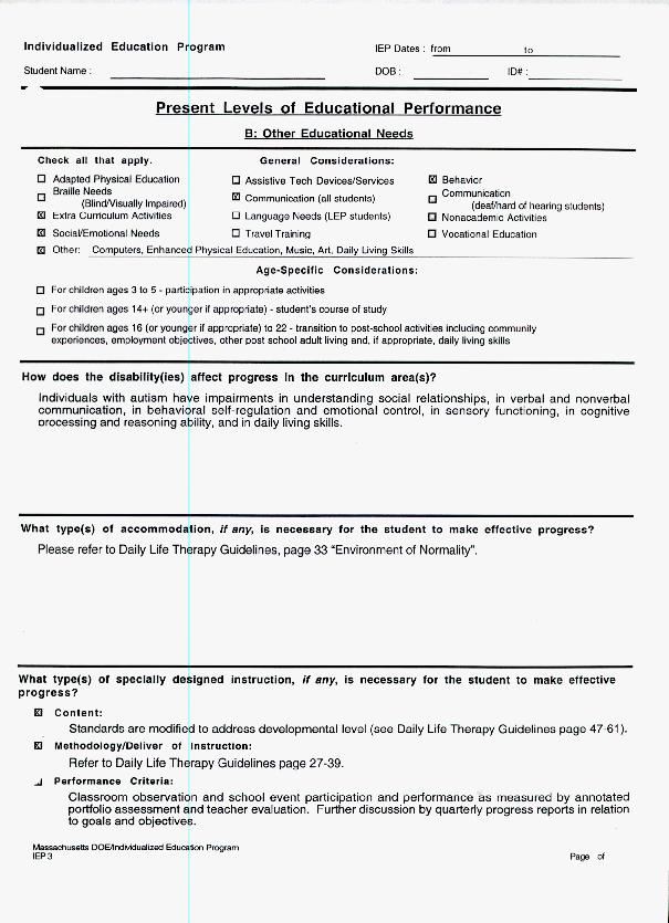
Present Level of Educational Performance B:Other Educational Needs
Current Performance Level/Measurable Annual Goals
Service Delivery
Nonparticipation Justification,Schedule Modification,Transportation Service
State or District-Wide Assessment
Additional Infomation,Resuponse Section

  <ボストン東スクールとアメリカ教育制度のTOPページへもどる>

Administrative Data Sheet


Attenndance Sheet

Individualized Education Program

Present Level of Educational Performance A:General curriculum

Present Level of Educational Performance B:Other Educational Needs

Current Performance Level/Measurable Annual Goals


Service Delivery

Nonparticipation Justification,Schedule Modification,Transportation Service

State or District-Wide Assessment

Additional Infomation,Resuponse Section



         <ボストン東スクールとアメリカ教育制度のTOPページへもどる>